客户名称:李先生+苏先生,同性移民
申请类别:加拿大联邦技术移民
申请结果:通过
申请周期:2008年–2010年
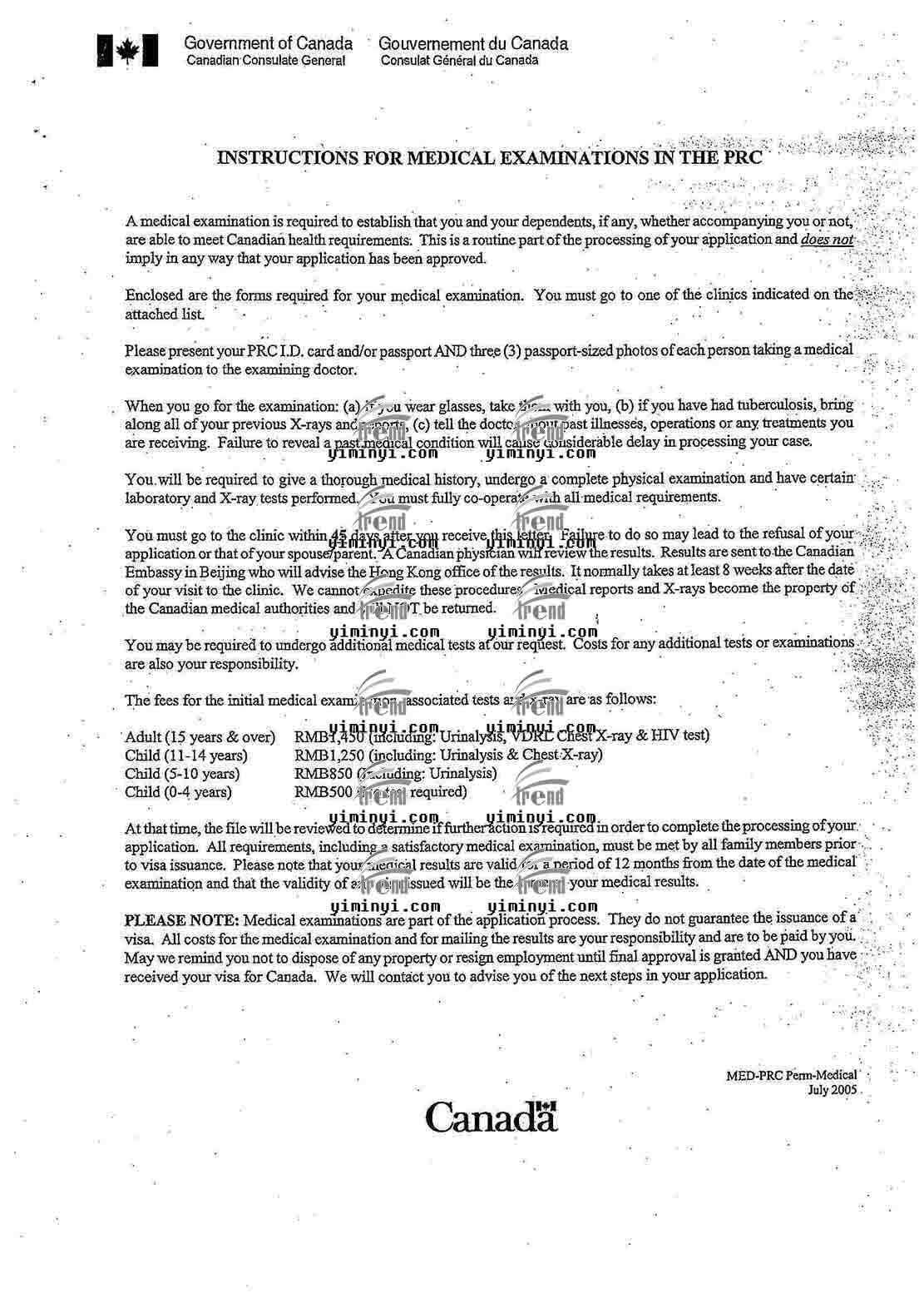
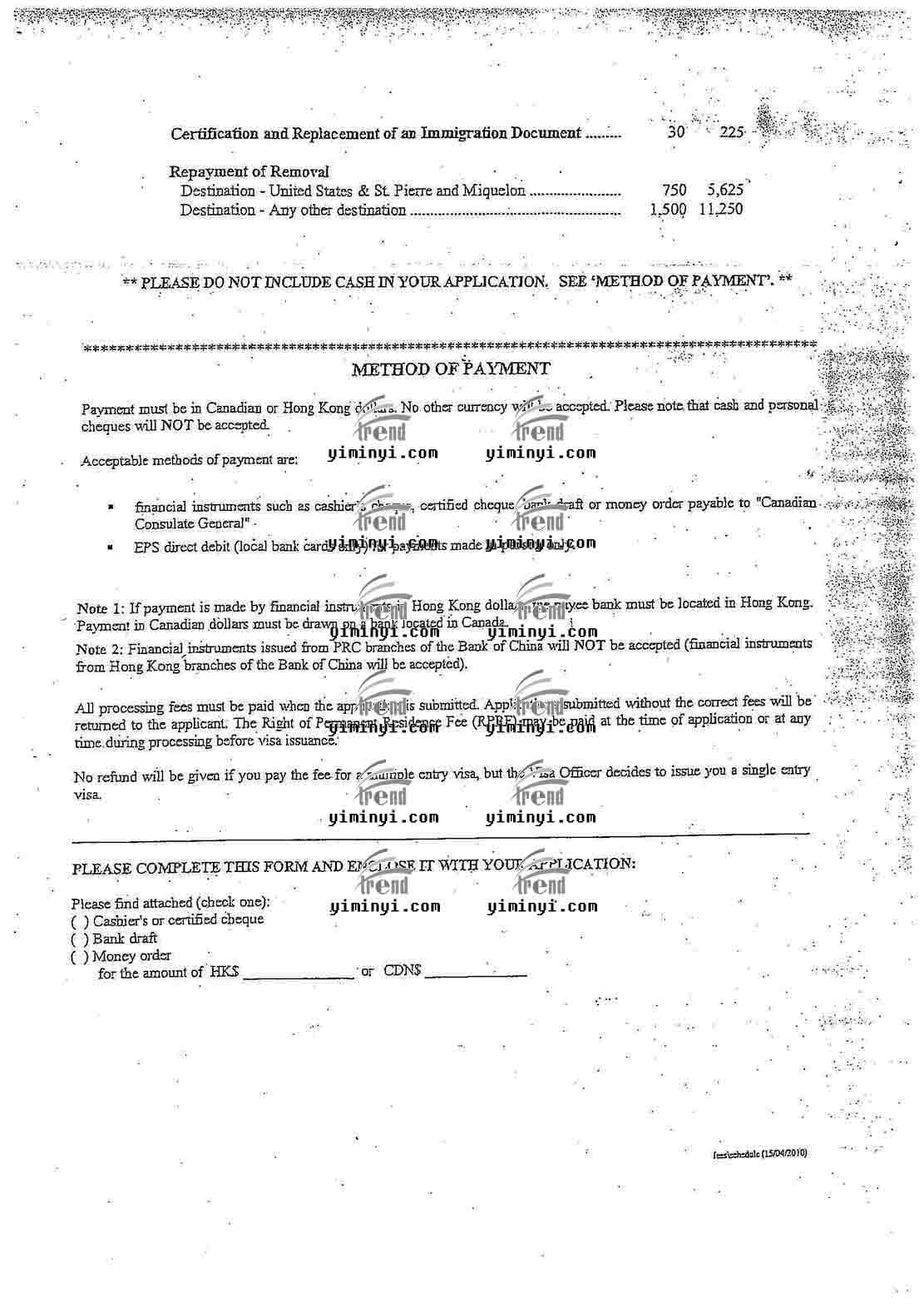
李先生,1973年出生,1991-1995年杭州电子工业学院毕业,获得双学士学位,主修会计学专业,毕业之后先后在五家公司工作,最后一家公司担任财务总监工作,符合当时的加拿大技术移民中的紧缺职业。与苏先生是同性移民,也符合加拿大移民法中的事实婚姻关系。。。。。。。在本文中,我们提供了使馆的初审信,补料信,体检说明和体检表,学历认证和教育背景等文件。。。
客户名称:李先生+苏先生,同性移民
申请类别:加拿大联邦技术移民
申请结果:通过
申请周期:2008年–2010年
李先生,1973年出生,1991-1995年杭州电子工业学院毕业,获得双学士学位,主修会计学专业,毕业之后先后在五家公司工作,最后一家公司担任财务总监工作,符合当时的加拿大技术移民中的紧缺职业。与苏先生是同性移民,也符合加拿大移民法中的事实婚姻关系。。。。。。。在本文中,我们提供了使馆的初审信,补料信,体检说明和体检表,学历认证和教育背景等文件。。。