客户名称:冯先生,张先生同性移民
申请类别:加拿大联邦技术移民
申请结果:通过
申请周期:2008年–2011年
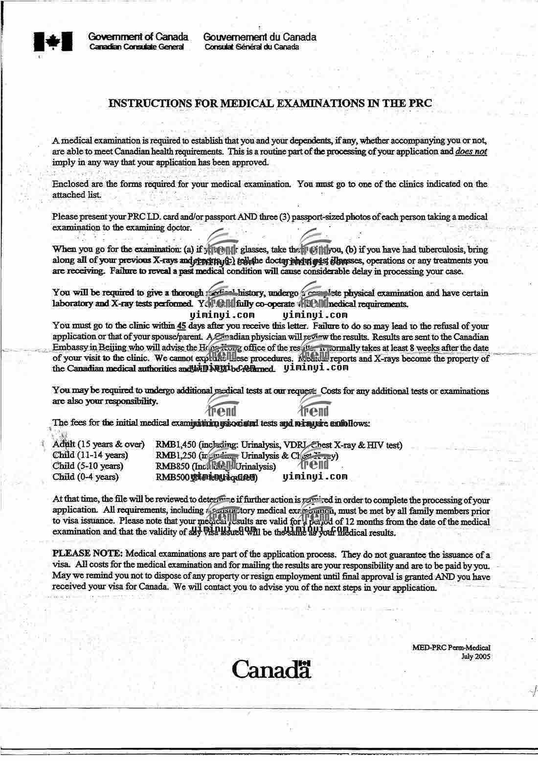
冯先生,1973年出生,与张先生是同性,一起申请移民。冯先生是山东大学国际经济专业本科,后读的澳大利亚SWINBURNE UNIVERSITY OF TECHNOLOGY并获得MBA学位。毕业之后回国,在北京某跨国公司从事财务方面的工作。2008年9月自己递交了加拿大移民申请,但由于职业定位的问题,并没有申请成功。在2009年5月委托我们再次申请加拿大联邦技术移民,我们根据当时的移民政策详细的分析,感觉职业定位需要调整,按照当时的紧缺职业递交了所有的申请,在2009年7月递交了初步申请给CIO,9月收到了档案号码,然后递交完整的文件给加拿大香港领事馆。在2011年3月收到了香港领事馆的体检表,由于副申请人的健康问题再次做了体检。2011年下半年入境加拿大,成为了加拿大永久居民。。。。。。在此文件中,有第一次没有申请成功的档案号码,第二次我们给递交的档案号码,体检表,申请人在澳洲的学历背景和未刑证明等等。








