客户名称:陈女士
申请类别:加拿大联邦技术移民
申请结果:通过
申请周期:2007年~2010年
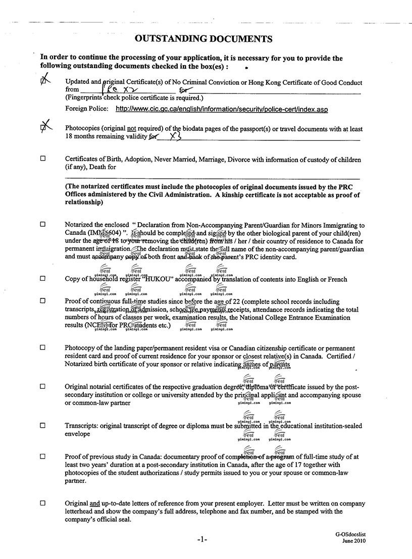
陈女士,1966年出生,在东北石油大学化学专业毕业,工学学士学位,在某国营企业从事化学工程师,工作经历完整,完全符合加拿大技术移民的政策,在2007年开始申请,后考取雅思成绩,在2010年9月收到体检表,2010年12月收到移民的签证,现在一家三人生活在加拿大卡尔加里市。
客户名称:陈女士
申请类别:加拿大联邦技术移民
申请结果:通过
申请周期:2007年~2010年
陈女士,1966年出生,在东北石油大学化学专业毕业,工学学士学位,在某国营企业从事化学工程师,工作经历完整,完全符合加拿大技术移民的政策,在2007年开始申请,后考取雅思成绩,在2010年9月收到体检表,2010年12月收到移民的签证,现在一家三人生活在加拿大卡尔加里市。