客户名称:杨女士+刘先生
申请类别:加拿大联邦技术移民
申请结果:通过
申请周期:2009年12月-2010年12月
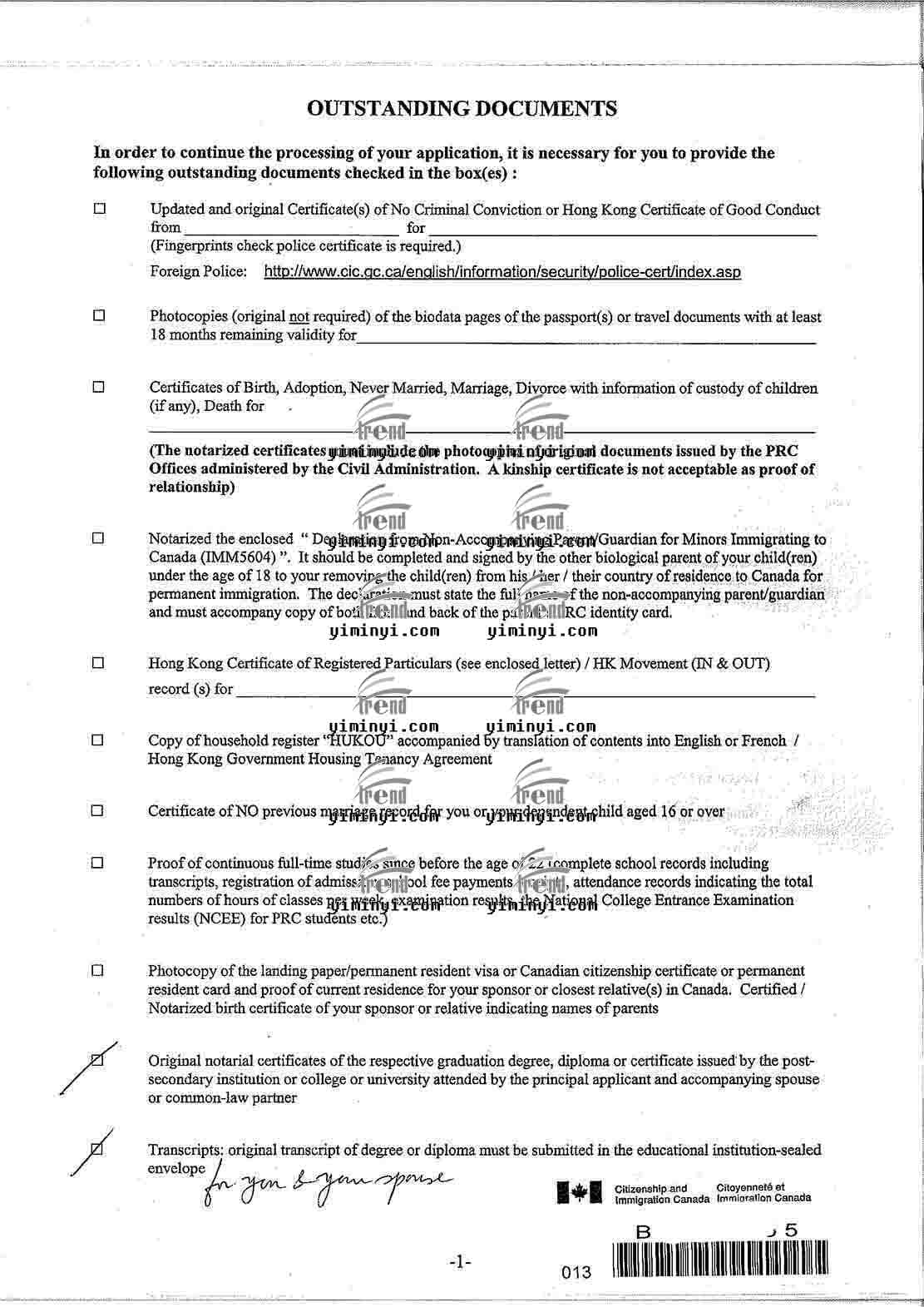
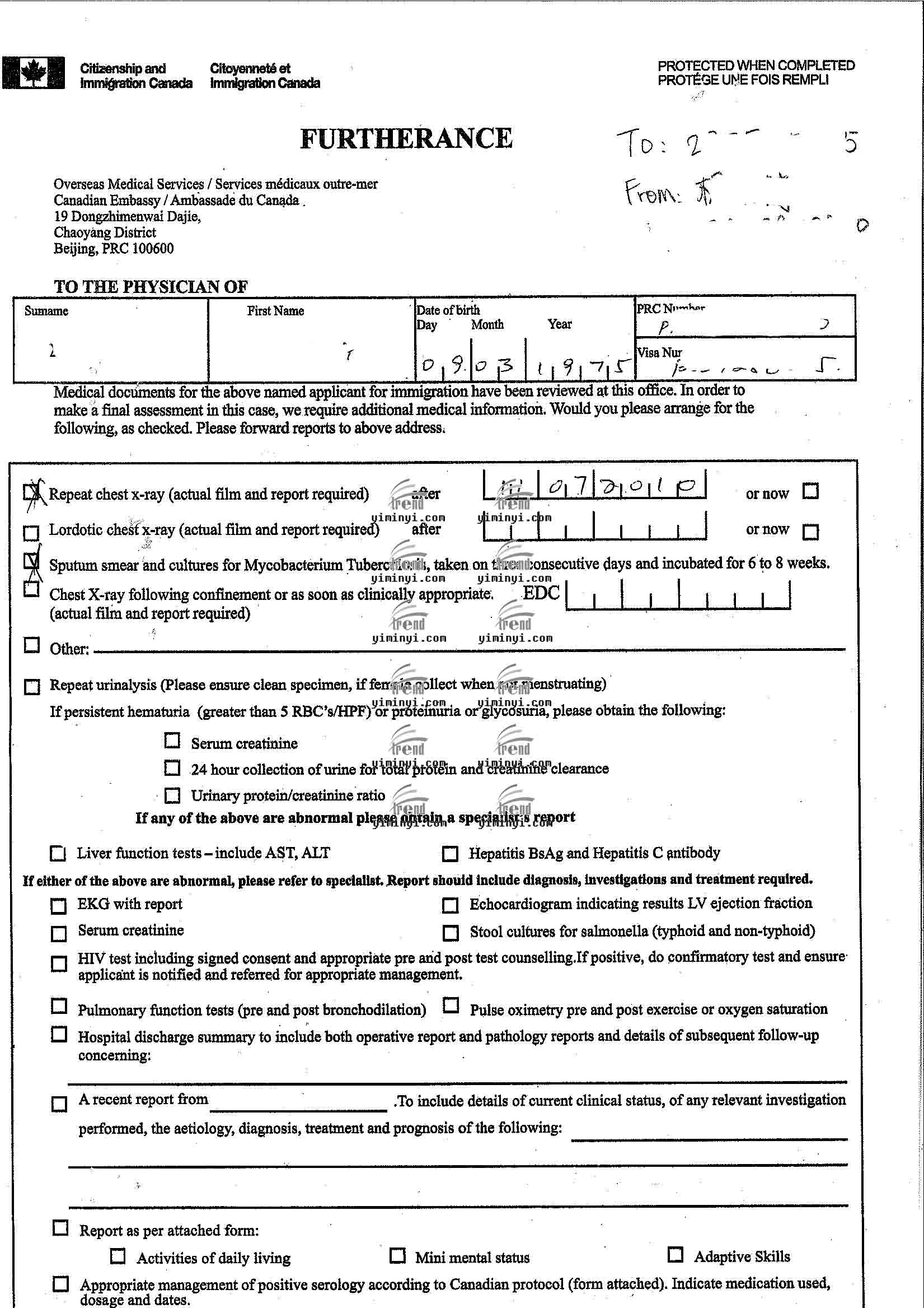
杨女士,1979年出生,2002-2006年就读于西南交通大学,专业是英语,学士学位。大学毕业后在惠普和甲骨文等公司担任客户服务经理。2009年12月开始申请移民,2010年10月5号收到体检表,体检后在2010年12月收到了移民签证。。。在本文中,我们提供了申请人的教育背景、学历认证、初审通知、复审通知、体检表和体检指南等文件。。。。。。
客户名称:杨女士+刘先生
申请类别:加拿大联邦技术移民
申请结果:通过
申请周期:2009年12月-2010年12月
杨女士,1979年出生,2002-2006年就读于西南交通大学,专业是英语,学士学位。大学毕业后在惠普和甲骨文等公司担任客户服务经理。2009年12月开始申请移民,2010年10月5号收到体检表,体检后在2010年12月收到了移民签证。。。在本文中,我们提供了申请人的教育背景、学历认证、初审通知、复审通知、体检表和体检指南等文件。。。。。。