客户名称:战先生
申请类别:加拿大联邦技术移民
申请结果:通过
申请周期:2001年3月-2003年11月
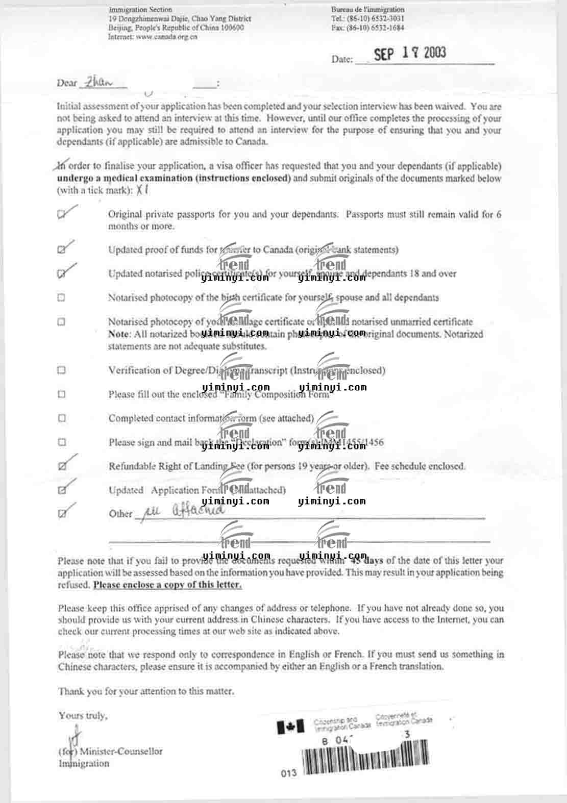
战先生,1969年出生,1988-1992年在Dalian University of Technology就读,专业是化学,获得工科学士学位,毕业后一直在大庆油田从事化学防腐工作。2001年3月开始申请加拿大移民,在2003年9月获得体检表,同年11月获得加拿大的移民签证。。。在本文中,我们提供了申请人的教育背景、学历认证、初审通知、复审通知、体检表和体检指南等文件。。。。。。
客户名称:战先生
申请类别:加拿大联邦技术移民
申请结果:通过
申请周期:2001年3月-2003年11月
战先生,1969年出生,1988-1992年在Dalian University of Technology就读,专业是化学,获得工科学士学位,毕业后一直在大庆油田从事化学防腐工作。2001年3月开始申请加拿大移民,在2003年9月获得体检表,同年11月获得加拿大的移民签证。。。在本文中,我们提供了申请人的教育背景、学历认证、初审通知、复审通知、体检表和体检指南等文件。。。。。。